
안녕하세요.
균짱짱입니다.
지난번에 [ 오픈회로 상태에서의 PN접합의 동작 ]을 알아봤어요.
이번에는 역방향으로 인가된 전압 상태에서의 PN접합의 동작을 알아볼게요.
여기서 역방향은 전압원의 (-)극이 P형 반도체를 향하는 방향,
전압원의 (+)극이 N형 반도체를 향하는 방향이에요.
(+)와 (-)가 반대로 매칭돼 있잔아요?
왜 정방향으로 인가된 상태보다
역방향으로 인가된 상태를 먼저 다루느냐, 라고 하면
역방향이 이해하기 더 쉽거든요,,!
그럼 시작할게요.
| 목차 |
| 1. 역전압이 인가 됐을 때, PN접합의 동작 2. Depletion capacitance(공핍층 커패시턴스) 3. PN접합의 항복(Break down) : 역전압의 크기가 일정이상 커졌을 경우 - Zener break or Zener effect - Avalanche breakdown |
1. 역전압이 인가 됐을 때, PN접합의 동작

그림처럼 P형 반도체 방향에 (-)극이,
N형 반도체에 (+)극이 인가된 상태가
역전압을 인가한 상태에요.
(+)극과 (-)극은 서로 인력을 가지잔아요?
따라서 p형 반도체와 n형 반도체의 majority carrier인
정공과 전자가 각각 (-)극, (+)극으로 끌려가고
결과적으로 공핍영역은 더 넓어져요.

공핍영역은 넓어지면,
P형 반도체와 N형 반도체를 가로막는 장벽이 넓어진거잔아요?
자연스럽게 전류의 흐름은 더 어려워집니다.

역방향으로 가해준 전압의 크기만큼 Built-in voltage(=Junction voltage = Barrier voltage)가 커집니다.
Open 회로 상태에서 [ Diffusion전류와 Drift전류 ]의 크기는 동일하지만,
Reverse voltage 상태에서는 공핍영역이 넓어져서 확산이 거의 일어나지 않기 때문에,
Diffusion전류가 거의 0에 수렴하고
Drift전류만 남아요.
하지만, Drift전류는 온도에 의해 발생하는 Minority carrier에 의해 발생하므로,
애초에 그 크기가 크지 않죠.
그 크기가 마이크로, 나노스케일이거든요.
온도에 의해 발생하므로, 인간된 역전압의 크기에 관계없이 그 크기가 작겠죠?
따라서, 역전압상태에서 PN접합은 Open circuit으로 동작하는거죠.
2. Depletion capacitance(공핍층 커패시턴스)
PN접합의 공핍영역에는 커패시턴스가 존재해요.
이 커패시턴스는 반도체가 증폭기로 동작하는데 있어서
중요한 요소입니다.
나쁜 영향을 끼쳐서 중요한 요소이긴 한데,
해당 내용은 나중에 다루어 볼게요.

쨋든, 역전압의 크기가 커지면 공핍영역도 넓어집니다.
다르게 말하면, 공핍영역에 저장된 전하의 크기가 변화하는 거죠.
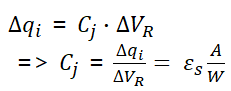
즉, 전압의 크기를 변화시키면 공핍영역내에 저장된 전하(Stored charge)가 변화하구요,
그 크기는 아래와 같아요.


식을 보면 Junction Capacitance가 일반적인 커패시터의 식과 동일해요.
이때, A는 단면적, W는 공핍영역의 넓이구요,
수식에서 알 수 있듯이
전압의 크기가 증가하면, 커패시턴스는 작아져요.
기울기가 감소하잔아요?
3. PN접합의 항복(Break down) : 역전압의 크기가 일정이상 커졌을 경우
PN접합에서 역전압의 크기가 계속해서 커지게 되면,
Break down이라는 현상이 발생합니다.
Break down이 발생하면 공유결합이 끊어지면서 무수히 많은 캐리어가 발생하고,
공유결합으로 인해 생성된 공핍영역도 사라집니다.
전류가 많이 흐를수 있는 상태가 되는 거죠.
Break down은 두가지로 구분할 수 있는데요,
Zener break와 Avalanceh break가 그것들입니다.
- Zener break or Zener effect
Zener라는 사람이 발견한, 전압으로 인해 공유결합(Covalent band)가 붕괴되면서
캐리어가 급격하게 증가하는 Zener Break가 그 첫번째에요.
이때, 강력하게 형성된 전자장에 의해 공유결합이 붕괴합니다.
- Avalanche breakdown
Avalanche는 눈사태를 의미하는데요,
마치 눈사태처럼, 힘을 받은 캐리어가 공유결합과 충돌하면서 공유결합을 붕괴시키고
결과적으로, 또 다른 캐리어를 만들어내는 거죠.

Break down은 pn접합의 전압이 일정 크기(제너 전압)이 되었을 때, 발생해요.


이때 PN접합은 전압원처럼 동작할 수 있구요,
따라서, 회로의 흐르는 전류를 구하려면 그냥 저항분에 전압을 해줄것이 아니라,
전압원에서 제너전압만큼 뺀값을 분모로 사용해야하는거죠.
간단하게 정리할게요.
|
*정리 ① 역전압이 인가된 상태에서는 전류가 거의 흐르지 않는다. ② PN접합에서는 커패시턴스가 존재한다. ③ 역전압이 굉장히 커지면 Breakdown이 발생한다. |
'전자회로 이모저모' 카테고리의 다른 글
| 다이오드 2. 이상적인 다이오드 (0) | 2021.10.13 |
|---|---|
| 다이오드 1. 다이오드 정의, 종류 (2) | 2021.10.11 |
| 반도체에서의 전류[확산(Diffusion) 전류, 유동(Drift) 전류] (4) | 2020.10.18 |
| 반도체에서 열적평형(Thermal equilibrium) (2) | 2020.10.18 |
| 오픈회로 상태에서의 PN접합 (1) | 2020.10.11 |