5. 자유 공간 전자파의 특성
가. 횡전자파(TEM : Transverse Electro Magnetic wave)
TEM파란 전파의 진행방향에 전계와 자계가 존재하지 않고, 진행 방향의 직각인 방향에 전계과 자계가 존재하는 횡파 성분의 전자파.

진행방향으로는 성분이 없는 전자파이다.

전기장과 자기장 모두 진행방향에 수직인 성분만을 가진다.
자유공간속을 전파하는 평면파와 유사하다.(그림이 이해가 잘 될지는 모르겠다.)

참고.
평면파(Plane wave) : 파면의 형상이 평면인 wave이다. 진행방향으로는 전기장, 자기장 성분이 없으며
자유공간 내에서 직진한다. TEM파의 일종이다.
참고 : 도파관 모드(Waveguide modes)
- TEM mode : 전파의 진행방향으로 전기장과 자기장이 없음
- TE mode(Transverse electric mode) : 전파의 진행방향으로 전기장이 없음

- TM mode(Transverse magnetic mode) : 전파의 진행방향으로 자기장이 없음

예전에 입사면을 기준으로 TE모드는 전기장이 수직인 파이고, TM모드는 자기장이 수직인 파로 공부했었다.
생각해보니, 입사면을 기준으로 수직이 되려면 진행방향으로는 그 값이 '0'이 되는게 맞는듯 하다.

입사면은 입사파, 반사파, 투과파, 법선 모두를 포함하는 평면이다.
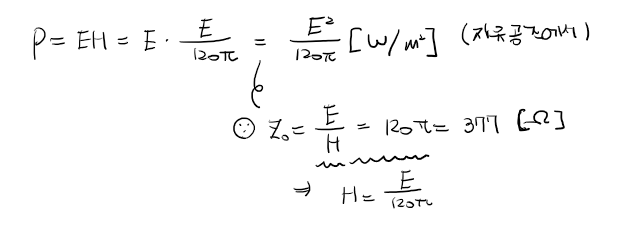
나. 고유 임피던스(특성 임피던스(characteristic impedence), 파동 임피던스)
특성 임피던스는 파가 진행하는 매질에 따라 일정하게 정해지는 저항의 크기이다.
기호는 Zo이고 단위는 Ω(옴)을 사용한다.

이 식은 파동방정식에서부터 나온다,,,
증명은 음,, 적어도 무선설비기사에서는 필요하지 않다! 외우는 걸 추천한다.
자유공간에서의 특성 임피던스는 아래와 같다.


다. 위상 속도 및 군속도
(1) 위상 속도(phase velocity) : 동일 위상이 반복되는 시간과 동일 위상이 반복되는 거리와의 비
뭔가 많이 적어놨지만, 그냥 파동의 속도(파장/주기)이다.

(2) 군속도(group velocity) : 매질 내에서 파가 에너지를 전파하는 속도(또는 정보의 전파 속도)

여러 주파수 성분이 중첩된 경우, 단일 주파수 성분의 속도는 크게 의미가 없다.
따라서, 위상속도 대신 전체 주파수가 중첩된 파형의 포락선 속도를 나타내는 것이 편하다.

위의 식은 책에 나온 군속도를 군하는 식이다.
근데 여기서, 굴절률(n)이 1보다 큰 경우, 군속도가 빛의 속도보다 커지는건가? 하는 의문이 든다. 그럴수가 있나,,?
아니, 애초에 nc라는 식이 어떻게 나온건지 잘 모르겠다.


위의 식은 전자기파의 속도와 관련해서 조금 끄적여봤다.. nc가 나올 거리가 없는거 같은데.. 내가 모르는 뭔가 있나보다.
쨌든, 책에 나온 대로 군속도와 위상속도를 곱하면 '(빛의속도)^2' 값이 나온다.

라. Poyinting 정리(포인팅 정리)

포인팅 정리를 설명하기에 앞서, 포인팅 벡터라는게 있다.
포인팅 벡터는 단위 면적당 전력의 밀도 또는 에너지 흐름의 크기 및 방향을 나타낸다.
평면파의 방향이 자기장, 전기장과 수직인 방향임을 생각하면 쉽다.

포인팅 정리는 포인팅 벡터를 적분하면 어떤 부피를 떠나는 전력을 구할수 있다는 것이다.
P=EH는 몇가지 조건이 충족되었을 때(자유 공간) 성립할 수 있는 수식이다.
마. 전파의 성질
① 전파는 횡파이다. 진동방향과 진행방향이 수직이라는 의미이다.
② 전파는 주파수가 높을수록 직진하며 주파수가 낮을수록 회절 현상이 심하다. 또한 굴절률이 다른 매질의 경계면에서는 굴절 또는 반사한다.
(5G가 실내에서 또는 높은 층에서 잘 되지 않는 이유는 주파수가 높기 때문이다. 파가 직진하므로 장애물을 만나면 소멸된다.)
③ 매질의 유전율, 투자율이 클수록 전파의 속도는 느리다.
빛의 속도에 관한 식을 생각해보면 당연한듯 하다.

④ 2개 이상의 전파가 만나면 서로 간섭한다.(보강간섭, 상쇄간섭) => 군속도를 사용하는 이유
⑤ 편파성을 갖는다.(전기장의 진동방향에 따라 구분된다.)
'무선설비기사 이모저모' 카테고리의 다른 글
| 안테나 공학 : 2. 안테나 이론 - 반파장 다이폴, λ/4 수직접지 안테나 (0) | 2021.01.27 |
|---|---|
| 안테나 공학 : 2. 안테나 이론 - 미소 dipole (0) | 2021.01.24 |
| 안테나 공학 : 1. 전자파 기초 이론 - 편파, 무선 주파수 대역의 분류 (0) | 2021.01.24 |
| 안테나 공학 : 1. 전자파 기초이론 - 맥스웰 방정식, 전파의 속도 (0) | 2021.01.23 |
| 안테나 공학 : 1. 전자파 기초 이론 - 전자계 법칙, 도전전류와 변위전류 (0) | 2021.01.22 |