안테나(Antenna) 특정 주파수 영역의 전자기파를 송수신하기 위한 변환장치(transducer)이다.
대부분의 안테나는 사용하는 전자기파의 파장길이에 따라 그 길이가 정해진다.
안테나가 전자기파를 복사하려면 그 전자기파와 동일한 공진 특성을 가져야 한다.
즉, 동일한 공진주파수를 가져야 한다.
그네를 예로 생각하면 편하다. 그네가 잘 흔들리게 하려면 그네의 움직임에 맞춰서 힘을 가해주어야 한다.
안테나 통신도 마찬가지다. 입력 전자기파와 안테나가 동일한 공진 특성을 가져야 통신이 가능하다.
가장 간단한 것은 전파 파장의 1/4크기의 전도체 막대이다. 이러한 반파장 다이폴 안테나는 무지향성이며 송수신에 특별한 제약이 없다는 장점이 있지만, 안테나 양끝 방향이 수신지 되지 않는 음영지역이라는 단점이 있다.
1. 미소 dipole(헤르츠(Hertzian) 다이폴)
가. 미소 다이폴의 전파 복사
미소 다이폴은 얇고 긴 컨덕터로 그 길이는 파장/50보다 짧다.
(다이폴의 길이가 파장보다 매우 짧다는 조건이 있어야 해석이 간단해진다.)

이때, 안테나의 길이가 매우 작아서 전체 안테나에 균일한 전류가 흐르며,
이 매우 작은 안테나에 대한 해석을 이용하여 여타 안테나를 근사적으로 해석한다.
여타 안테나에 대해서 근사적으로 해석하는 이유는, 미소 안테나가 맥스웰 방정식을 이용해 전자파 복사 특성을 해석적으로 구할 수 있는 유일한 안테나이기 때문이다.
다른 안테나들은 전류분포를 알수 없기 때문에, 전자파 복사 특성을 근사없이 구할 수 없다.


point source(미소 다이폴, 원거리에서 포인트 소스로 근사 가능)에서의 송신되는 신호는 구형으로 방사되며, 보통의 송수신 안테나는 거리가 멀리 떨어져 있으므로 수신단에서의 신호는 균일 평면파로 볼 수 있다.
앞서 설명했듯이 송수신단의 거리가 멀어지면 평면파 근사가 가능해지기 때문에,
원거리에서는 아래의 두 항만 고려한다.

위의 식에서 안테나로부터 1/r^3에 비례하는 항을 정전계,
1/r^2에 비례하는 항을 유도 전자계,
1/r에 비례하는 항을 복사 전자계라 한다.
안테나로부터 λ/2π(=0.16λ) 이내에서는 정전계와 유도 전자계(근거리장, near field)가 주가 되고 0.16λ지점에서는 정전계, 유도전자계, 복사전자계가 모두 같아지며, 0.16λ 이상에서는 복사전자계(원거리장, far field)가 주가된다.

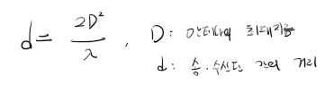
참고 : 근거리, 원거리 영역의 구분(= 정전계, 유도 전자계, 복사전자계가 모두 같아 지는 지점의 구분)
내가 알기로, 근거리와 원거리를 나누는 기준은 아래와 같다.

이때의 거리, d를 Fraunhofer distance라고 한다.
근데, 책에 나온 식은 아래의 식에서 나온다.

여기서, 보면 이 거리 r이 파수의 역수와 동일하다는 것을 알 수 있다.
(1) 정전계(electrostatic field)
① 거리의 3승에 반비례하는 항
② 자계 성분이 없다.
③ 에너지 이동이 없어서 전파되지 않는다.
(2) 유도 전자계(induction field)
① 거리의 2승에 반비례하는 항
② Bio-Savart 법칙을 따르는 전자계
(3) 방사전계(radiation field, far field)
① 거리에 반비례하는 항
② 원거리에서는 평면파로 근사(TEM파로 근사) > 방사패턴의 형태가 거리와 무관
③ 일반적으로 말하는 전파는 복사전자계
④ 복사전계의 크기는 아래와 같다.

그 크기는 아래의 식에서 1/r항만 고려해서 구할 수 있다.


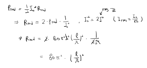
나. 미소 dipole의 복사전력과 복사저항
(1) 복사전력(=방사전력)

방사전력은 주기 T동안 방사된 평균전력이다.(포인팅 벡터에서 구한 전력과 동일하다.)


쨋든 여차저차해서 복사전력은 80pi^2을 비례상수로 갖고, (전류*안테나길이)^2에 비례하며, 파장^2에 반비례한다.
(2) 복사저항

대충 유도하면 아래의 식이 나온다.

자세한 내용은 넘어가도록 한다.
'무선설비기사 이모저모' 카테고리의 다른 글
| 안테나 공학 : 3. 안테나의 종류(주파수 대역에 따른 구분, 안테나 형태) (0) | 2021.02.27 |
|---|---|
| 안테나 공학 : 2. 안테나 이론 - 반파장 다이폴, λ/4 수직접지 안테나 (0) | 2021.01.27 |
| 안테나 공학 : 1. 전자파 기초 이론 - 편파, 무선 주파수 대역의 분류 (0) | 2021.01.24 |
| 안테나 공학 : 1. 전자파 기초 이론 - 자유공간 전자파의 특성 (0) | 2021.01.23 |
| 안테나 공학 : 1. 전자파 기초이론 - 맥스웰 방정식, 전파의 속도 (0) | 2021.01.23 |