728x90
반응형
2. 반파장 다이폴
반파장 다이폴 안테나는 일반적으로 많이 사용되는 안테나이다.
반파장 다이폴 안테나의 길이는 파장의 절반이다.

전송선을 기준으로 λ/4 길이의 안테나가 있다.

가. 반파장 dipole의 전파복사
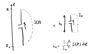
복사 전계는 다음과 같다.

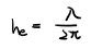
이때, 반파장 다이폴 안테나(λ/2 다이폴 안테나)에서의 실효고는 λ/π 이다.
실효고는 안테나에서 임의의 전류 분포를 균일 전류 분포로 환산한 높이이다.
rms값을 생각하면 편하다.

실효고가 클수록 수신 또는 방사되는 전계강도 및 유기 전압이 커진다.
나. 반파장 dipole의 복사전력과 복사저항
(1) 복사전력

(2) 복사저항

복사저항과 동일한 약 75옴 동축케이블과의 임피던스 정합이 용이하다.
(3) 실효길이
전류분포가 일정한 안테나 높이를 실요길이(수직접지 안테나의 경우는 실효고)

3. λ/4 수직접지 안테나(수직 반파장 다이폴 안테나)
반파장 안테나는 지면과 평행한 수평 반파장 다이폴 안테나,
지면과 수직인 수직 반파장 다이폴 안테나로 구분할 수 있다.
수평 반파장 다이폴 안테나는 보통 HF에서의 교신, VHF, UHF의 TV방송에 많이 사용한다.
수직 반파장 다이폴 안테나는 보통 VHF, UHF에서의 교신에 많이 사용한다. 수평면에서 무지향성이다.
λ/4 수직접지 안테나의 실효고는 λ/2π 이다.

가. λ/4 수직접지 안테나의 전파 복사


나. λ/4 수직접지 안테나의 복사전력과 복사저항
(1) 복사전력

(2) 복사저항

(3) 실효고

728x90
반응형
'무선설비기사 이모저모' 카테고리의 다른 글
| 안테나 공학 : 3. 안테나의 종류 (주파수 구분) (0) | 2021.02.27 |
|---|---|
| 안테나 공학 : 3. 안테나의 종류(주파수 대역에 따른 구분, 안테나 형태) (0) | 2021.02.27 |
| 안테나 공학 : 2. 안테나 이론 - 미소 dipole (0) | 2021.01.24 |
| 안테나 공학 : 1. 전자파 기초 이론 - 편파, 무선 주파수 대역의 분류 (0) | 2021.01.24 |
| 안테나 공학 : 1. 전자파 기초 이론 - 자유공간 전자파의 특성 (0) | 2021.01.23 |